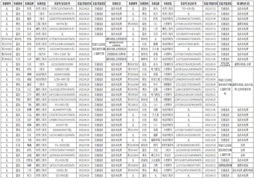
根据《中华人民共和国道路交通安全法》第一百一十二条、《中华人民共和国道路交通安全法实施条例》第一百零七条、《道路交通事故处理程序规定》(公安部第146号令)第五十八条之规定,下列227辆因交通违法或交通事故被长治市公安局上党分局交通警察大队依法扣留的车辆,驾驶人、所有人或管理人应自此公告发布之日3个月内,持公安机关交通管理部门强制措施凭证及其他相关手续到扣留车辆的交警大队接受处理,逾期不来接受处理的,公安机关交通部门将对扣留的车辆依法进行处理。
长治市公安局上党分局交通警察大队
2024年5月16日



前一期